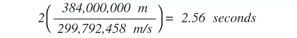
There are two possible questions here. The first is simply how long would it take for a laser to travel to the moon and back.

The moon is around 384,000 km away. The speed of light is 299,792,458 m/s. The journey is round trip, so:

However, if the question really is about seeing the dot – you won’t. Ever.
Beams of light diverge. Take a flashlight (torch) for example. Why is it that if you are 20 meters from a wall the light will illuminate it, but if you are 40 meters from that wall, the light won’t illuminate it?
What’s happening here? Is something stopping the light from traveling that distance? No, the light is traveling unimpeded, 40 meters is nothing for a photon. But the beam of light gets larger and larger with distance. So, the extremely dense cross section of photons at the lens of the flashlight is very bright, but as the beam gets wider, those photons are distributed over greater area. The light density gets less and the beam gets dimmer.

Very expensive lasers are designed to minimize this beam spreading, called divergence – but they can’t stop it. And we do reflect lasers off the moon. Well, more accurately, we reflect lasers off mirrors that the Apollo astronauts left on the moon.

Although the moon looks bright to us, that’s just because the sun is radiating it with so much light. The moon is gray like charcoal. It only reflects about 7% of the visible light that hits it. So, even the best lasers combined with the best telescopes aren’t going to be effective at reflecting visible light off of the surface. But those mirrors are highly reflective.
Even so, very few of the photons from the lasers aimed at those mirrors actually make it back to the telescope. There is a project called APOLLO (Apache Point Observatory Lunar Laser-ranging Operation) that fires laser pulses at those mirrors and measures the returned signal to calculate extremely precisely the distance to the moon. They use a powerful laser and yet only 1.7 in 1E17 of the photons from their laser are sensed upon return.
That’s 1.7 in 100,000,000,000,000,000 photons. With their system, that means the returning signal consists of 5-10 photons. A giant 3.5 meter telescope can only detect 5-10 photons. Your eye isn’t going to have such luck.
Here’s a picture of APOLLO shining its laser on the moon.

